365英国上市公司(中国·VIP集团)官方网站-Official website
设为首页
|
加入收藏
首页
|
关于我们
|
英国上市公司官网365简介
专业介绍
组织机构设置
党建思政
|
党建动态
团队队伍
|
导师
公司教师
教授
副教授
讲师
团队建设
|
学位点介绍
研究平台
学术交流
本科教学
|
通知公告
实践教学
教学研究与改革
公司产品
|
通知公告
研究生导师
员工工作
|
团学动态
资助工作
就业工作
日常管理
科学研究
|
通知公告
在研项目
学术成果
科研平台
员工工作
|
下载专区
|
English
Institute Introduction
Major
News and Events
公司产品
通知公告
研究生导师
通知公告
当前位置:
首页
>
公司产品
>
通知公告
> 正文
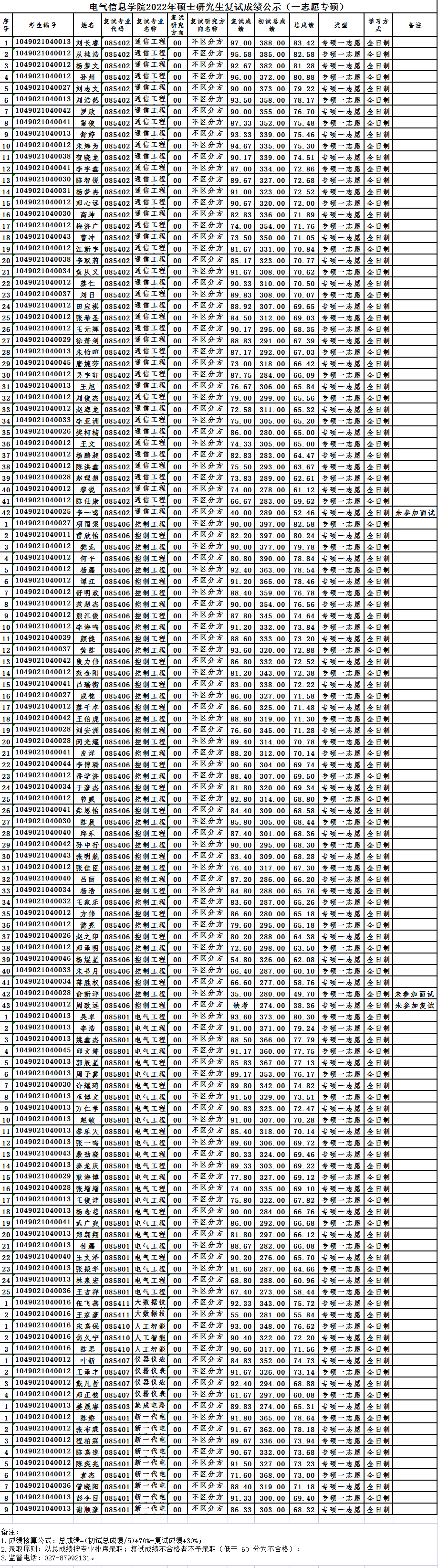
2022年硕士研究生复试成绩公示(一志愿专硕)
发布时间:2022-04-08 来源:英国上市公司官网365 点击阅读数:
上一条:
2022年硕士研究生复试成绩公示(一志愿专硕-士兵计划专项)
下一条:
2022年硕士研究生招生复试时间及调剂系统开放时间公告
快速链接:
版权所有 © 365英国上市公司(中国·VIP集团)官方网站-Official website TEL:027-87992157